Announcing etcd v3.6.0

This announcement originally appeared on the etcd blog.

Today, we are releasing etcd v3.6.0, the first minor release since etcd v3.5.0 on June 15, 2021. This release introduces several new features, makes significant progress on long-standing efforts like downgrade support and migration to v3store, and addresses numerous critical & major issues. It also includes major optimizations in memory usage, improving efficiency and performance.

In addition to the features of v3.6.0, etcd has joined Kubernetes as a SIG (sig-etcd), enabling us to improve project sustainability. We've introduced systematic robustness testing to ensure correctness and reliability. Through the etcd-operator Working Group, we plan to improve usability as well.

What follows are the most significant changes introduced in etcd v3.6.0, along with the discussion of the roadmap for future development. For a detailed list of changes, please refer to the CHANGELOG-3.6.

A heartfelt thank you to all the contributors who made this release possible!

Security

etcd takes security seriously. To enhance software security in v3.6.0, we have improved our workflow checks by integrating govulncheck to scan the source code and trivy to scan container images. These improvements have also been backported to supported stable releases.

etcd continues to follow the Security Release Process to ensure vulnerabilities are properly managed and addressed.

Features

Migration to v3store

The v2store has been deprecated since etcd v3.4 but could still be enabled via --enable-v2. It remained the source of truth for membership data. In etcd v3.6.0, v2store can no longer be enabled as the --enable-v2 flag has been removed, and v3store has become the sole source of truth for membership data.

While v2store still exists in v3.6.0, etcd will fail to start if it contains any data other than membership information. To assist with migration, etcd v3.5.18+ provides the etcdutl check v2store command, which verifies that v2store contains only membership data (see PR 19113).

Compared to v2store, v3store offers better performance and transactional support. It is also the actively maintained storage engine moving forward.

The removal of v2store is still ongoing and is tracked in issues/12913.

Downgrade

etcd v3.6.0 is the first version to fully support downgrade. The effort for this downgrade task spans both versions 3.5 and 3.6, and all related work is tracked in issues/11716.

At a high level, the process involves migrating the data schema to the target version (e.g., v3.5), followed by a rolling downgrade.

Ensure the cluster is healthy, and take a snapshot backup. Validate whether the downgrade is valid:

$ etcdctl downgrade validate 3.5
Downgrade validate success, cluster version 3.6

If the downgrade is valid, enable downgrade mode:

$ etcdctl downgrade enable 3.5
Downgrade enable success, cluster version 3.6

etcd will then migrate the data schema in the background. Once complete, proceed with the rolling downgrade.

For details, refer to the Downgrade-3.6 guide.

Feature gates

In etcd v3.6.0, we introduced Kubernetes-style feature gates for managing new features. Previously, we indicated unstable features through the --experimental prefix in feature flag names. The prefix was removed once the feature was stable, causing a breaking change. Now, features will start in Alpha, progress to Beta, then GA, or get deprecated. This ensures a much smoother upgrade and downgrade experience for users.

See feature-gates for details.

livez / readyz checks

etcd now supports /livez and /readyz endpoints, aligning with Kubernetes' Liveness and Readiness probes. /livez indicates whether the etcd instance is alive, while /readyz indicates when it is ready to serve requests. This feature has also been backported to release-3.5 (starting from v3.5.11) and release-3.4 (starting from v3.4.29). See livez/readyz for details.

The existing /health endpoint remains functional. /livez is similar to /health?serializable=true, while /readyz is similar to /health or /health?serializable=false. Clearly, the /livez and /readyz endpoints provide clearer semantics and are easier to understand.

v3discovery

In etcd v3.6.0, the new discovery protocol v3discovery was introduced, based on clientv3. It facilitates the discovery of all cluster members during the bootstrap phase.

The previous v2discovery protocol, based on clientv2, has been deprecated. Additionally, the public discovery service at https://discovery.etcd.io/, which relied on v2discovery, is no longer maintained.

Performance

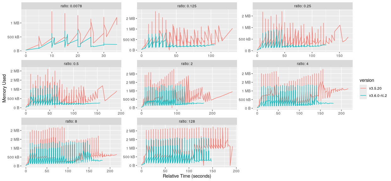
Memory

In this release, we reduced average memory consumption by at least 50% (see Figure 1). This improvement is primarily due to two changes:

  • The default value of --snapshot-count has been reduced from 100,000 in v3.5 to 10,000 in v3.6. As a result, etcd v3.6 now retains only about 10% of the history records compared to v3.5.
  • Raft history is compacted more frequently, as introduced in PR/18825.
Diagram of memory usage

Figure 1: Memory usage comparison between etcd v3.5.20 and v3.6.0-rc.2 under different read/write ratios. Each subplot shows the memory usage over time with a specific read/write ratio. The red line represents etcd v3.5.20, while the teal line represents v3.6.0-rc.2. Across all tested ratios, v3.6.0-rc.2 exhibits lower and more stable memory usage.

Throughput

Compared to v3.5, etcd v3.6 delivers an average performance improvement of approximately 10% in both read and write throughput (see Figure 2, 3, 4 and 5). This improvement is not attributed to any single major change, but rather the cumulative effect of multiple minor enhancements. One such example is the optimization of the free page queries introduced in PR/419.

etcd read transaction performance with a high write ratio

Figure 2: Read throughput comparison between etcd v3.5.20 and v3.6.0-rc.2 under a high write ratio. The read/write ratio is 0.0078, meaning 1 read per 128 writes. The right bar shows the percentage improvement in read throughput of v3.6.0-rc.2 over v3.5.20, ranging from 3.21% to 25.59%.

etcd read transaction performance with a high read ratio

Figure 3: Read throughput comparison between etcd v3.5.20 and v3.6.0-rc.2 under a high read ratio. The read/write ratio is 8, meaning 8 reads per write. The right bar shows the percentage improvement in read throughput of v3.6.0-rc.2 over v3.5.20, ranging from 4.38% to 27.20%.

etcd write transaction performance with a high write ratio

Figure 4: Write throughput comparison between etcd v3.5.20 and v3.6.0-rc.2 under a high write ratio. The read/write ratio is 0.0078, meaning 1 read per 128 writes. The right bar shows the percentage improvement in write throughput of v3.6.0-rc.2 over v3.5.20, ranging from 2.95% to 24.24%.

etcd write transaction performance with a high read ratio

Figure 5: Write throughput comparison between etcd v3.5.20 and v3.6.0-rc.2 under a high read ratio. The read/write ratio is 8, meaning 8 reads per write. The right bar shows the percentage improvement in write throughput of v3.6.0-rc.2 over v3.5.20, ranging from 3.86% to 28.37%.

Breaking changes

This section highlights a few notable breaking changes. For a complete list, please refer to the Upgrade etcd from v3.5 to v3.6 and the CHANGELOG-3.6.

Old binaries are incompatible with new schema versions

Old etcd binaries are not compatible with newer data schema versions. For example, etcd 3.5 cannot start with data created by etcd 3.6, and etcd 3.4 cannot start with data created by either 3.5 or 3.6.

When downgrading etcd, it's important to follow the documented downgrade procedure. Simply replacing the binary or image will result in the incompatibility issue.

Peer endpoints no longer serve client requests

Client endpoints (--advertise-client-urls) are intended to serve client requests only, while peer endpoints (--initial-advertise-peer-urls) are intended solely for peer communication. However, due to an implementation oversight, the peer endpoints were also able to handle client requests in etcd 3.4 and 3.5. This behavior was misleading and encouraged incorrect usage patterns. In etcd 3.6, this misleading behavior was corrected via PR/13565; peer endpoints no longer serve client requests.

Clear boundary between etcdctl and etcdutl

Both etcdctl and etcdutl are command line tools. etcdutl is an offline utility designed to operate directly on etcd data files, while etcdctl is an online tool that interacts with etcd over a network. Previously, there were some overlapping functionalities between the two, but these overlaps were removed in 3.6.0.

  • Removed etcdctl defrag --data-dir

    The etcdctl defrag command only support online defragmentation and no longer supports offline defragmentation. To perform offline defragmentation, use the etcdutl defrag --data-dir command instead.

  • Removed etcdctl snapshot status

    etcdctl no longer supports retrieving the status of a snapshot. Use the etcdutl snapshot status command instead.

  • Removed etcdctl snapshot restore

    etcdctl no longer supports restoring from a snapshot. Use the etcdutl snapshot restore command instead.

Critical bug fixes

Correctness has always been a top priority for the etcd project. In the process of developing 3.6.0, we found and fixed a few notable bugs that could lead to data inconsistency in specific cases. These fixes have been backported to previous releases, but we believe they deserve special mention here.

  • Data Inconsistency when Crashing Under Load

Previously, when etcd was applying data, it would update the consistent-index first, followed by committing the data. However, these operations were not atomic. If etcd crashed in between, it could lead to data inconsistency (see issue/13766). The issue was introduced in v3.5.0, and fixed in v3.5.3 with PR/13854.

  • Durability API guarantee broken in single node cluster

When a client writes data and receives a success response, the data is expected to be persisted. However, the data might be lost if etcd crashes immediately after sending the success response to the client. This was a legacy issue (see issue/14370) affecting all previous releases. It was addressed in v3.4.21 and v3.5.5 with PR/14400, and fixed in raft side in main branch (now release-3.6) with PR/14413.

  • Revision Inconsistency when Crashing During Defragmentation

If etcd crashed during the defragmentation operation, upon restart, it might reapply some entries which had already been applied, accordingly leading to the revision inconsistency issue (see the discussions in PR/14685). The issue was introduced in v3.5.0, and fixed in v3.5.6 with PR/14730.

Upgrade issue

This section highlights a common issue issues/19557 in the etcd v3.5 to v3.6 upgrade that may cause the upgrade process to fail. For a complete upgrade guide, refer to Upgrade etcd from v3.5 to v3.6.

The issue was introduced in etcd v3.5.1, and resolved in v3.5.20.

Key takeaway: users are required to first upgrade to etcd v3.5.20 (or a higher patch version) before upgrading to etcd v3.6.0; otherwise, the upgrade may fail.

For more background and technical context, see upgrade_from_3.5_to_3.6_issue.

Testing

We introduced the Robustness testing to verify correctness, which has always been our top priority. It plays traffic of various types and volumes against an etcd cluster, concurrently injects a random failpoint, records all operations (including both requests and responses), and finally performs a linearizability check. It also verifies that the Watch APIs guarantees have not been violated. The robustness test increases our confidence in ensuring the quality of each etcd release.

We have migrated most of the etcd workflow tests to Kubernetes' Prow testing infrastructure to take advantage of its benefit, such as nice dashboards for viewing test results and the ability for contributors to rerun failed tests themselves.

Platforms

While retaining all existing supported platforms, we have promoted Linux/ARM64 to Tier 1 support. For more details, please refer to issues/15951. For the complete list of supported platforms, see supported-platform.

Dependencies

Dependency bumping guide

We have published an official guide on how to bump dependencies for etcd’s main branch and stable releases. It also covers how to update the Go version. For more details, please refer to dependency_management. With this guide available, any contributors can now help with dependency upgrades.

Core Dependency Updates

bbolt and raft are two core dependencies of etcd.

Both etcd v3.4 and v3.5 depend on bbolt v1.3, while etcd v3.6 depends on bbolt v1.4.

For the release-3.4 and release-3.5 branches, raft is included in the etcd repository itself, so etcd v3.4 and v3.5 do not depend on an external raft module. Starting from etcd v3.6, raft was moved to a separate repository (raft), and the first standalone raft release is v3.6.0. As a result, etcd v3.6.0 depends on raft v3.6.0.

Please see the table below for a summary:

etcd versions bbolt versions raft versions
3.4.x v1.3.x N/A
3.5.x v1.3.x N/A
3.6.x v1.4.x v3.6.x

grpc-gateway@v2

We upgraded grpc-gateway from v1 to v2 via PR/16595 in etcd v3.6.0. This is a major step toward migrating to protobuf-go, the second major version of the Go protocol buffer API implementation.

grpc-gateway@v2 is designed to work with protobuf-go. However, etcd v3.6 still depends on the deprecated gogo/protobuf, which is actually protocol buffer v1 implementation. To resolve this incompatibility, we applied a patch to the generated *.pb.gw.go files to convert v1 messages to v2 messages.

grpc-ecosystem/go-grpc-middleware/providers/prometheus

We switched from the deprecated (and archived) grpc-ecosystem/go-grpc-prometheus to grpc-ecosystem/go-grpc-middleware/providers/prometheus via PR/19195. This change ensures continued support and access to the latest features and improvements in the gRPC Prometheus integration.

Community

There are exciting developments in the etcd community that reflect our ongoing commitment to strengthening collaboration, improving maintainability, and evolving the project’s governance.

etcd Becomes a Kubernetes SIG

etcd has officially become a Kubernetes Special Interest Group: SIG-etcd. This change reflects etcd’s critical role as the primary datastore for Kubernetes and establishes a more structured and transparent home for long-term stewardship and cross-project collaboration. The new SIG designation will help streamline decision-making, align roadmaps with Kubernetes needs, and attract broader community involvement.

New contributors, maintainers, and reviewers

We’ve seen increasing engagement from contributors, which has resulted in the addition of three new maintainers:

Their continued contributions have been instrumental in driving the project forward.

We also welcome two new reviewers to the project:

We appreciate their dedication to code quality and their willingness to take on broader review responsibilities within the community.

New release team

We've formed a new release team led by ivanvc and jmhbnz, streamlining the release process by automating many previously manual steps. Inspired by Kubernetes SIG Release, we've adopted several best practices, including clearly defined release team roles and the introduction of release shadows to support knowledge sharing and team sustainability. These changes have made our releases smoother and more reliable, allowing us to approach each release with greater confidence and consistency.

Introducing the etcd Operator Working Group

To further advance etcd’s operational excellence, we have formed a new working group: WG-etcd-operator. The working group is dedicated to enabling the automatic and efficient operation of etcd clusters that run in the Kubernetes environment using an etcd-operator.

Future Development

The legacy v2store has been deprecated since etcd v3.4, and the flag --enable-v2 was removed entirely in v3.6. This means that starting from v3.6, there is no longer a way to enable or use the v2store. However, etcd still bootstraps internally from the legacy v2 snapshots. To address this inconsistency, We plan to change etcd to bootstrap from the v3store and replay the WAL entries based on the consistent-index. The work is being tracked in issues/12913.

One of the most persistent challenges remains the large range of queries from the kube-apiserver, which can lead to process crashes due to their unpredictable nature. The range stream feature, originally outlined in the v3.5 release blog/Future roadmaps, remains an idea worth revisiting to address the challenges of large range queries.

For more details and upcoming plans, please refer to the etcd roadmap.